In de pilot ‘drukdrainage Alblasserwaard-Vijfheerenlanden’ wordt onderzocht in hoeverre drukdrainage de gevolgen zijn voor de waterkwaliteit en natuurwaarden en in hoeverre dit kansen oplevert voor een duurzame melkveehouderij. In het kader van dit project zijn enkele percelen van de Alblasserwaard en Vijfheerenlanden ingericht met een systeem voor drukdrainage en enkele delen gekozen als referentie. Wateraan- en -afvoer vindt plaats via afgedamde sloten. In beide situaties worden gegevens verzameld over de waterkwaliteit, de waterstromen en de ecologie (waterplanten). Nico Jaarsma en Stef van Walsum zijn gevraagd de tijdens de pilot verzamelde gegevens te analyseren en hierover een korte rapportage (notitie) op te stellen.
Verwachte effecten:
Men verwachtte dat de debieten van uit- en afspoeling en inlaat zullen toenemen door drukdrainage. Hoewel op korte termijn onzeker is wat drukdrainage betekent voor de kwaliteit van het uit- en afspoelende water, wordt verwacht dat de belasting van het watersysteem met nutriënten en macro-ionen zal toenemen.
Op lange termijn wordt juist verwacht (en beoogd) dat de drukdrainage de veenafbraak zal remmen. De hypothese is dat de kwaliteit van de uit- en afspoeling zal verbeteren. Hoe de belasting van het watersysteem definitief zal veranderen is geen vraag.

Vegetatieopnamens van de pilotsloten: Door Aquon worden in de sloten van de pilotopnames gemaakt van de vegetatie. De opnames worden uitgevoerd volgens de KaderRichtlijnWater-systematiek (KRW) bij het sloottype M8 (veensloot). We ontmoeten elkaar in de c-watergangen, dus de slootjes aan beide zijden van het pilotperceel en één referentiesloot. De ontmoetingen zijn eenmalig in elke zomerperiode, meestal in juni/juli.
De meetresultaten worden op de website gedeeld. Het meetnet staat onder leiding van Ronald Gylstra (WSRL) en wordt mede uitgevoerd door Aquon ( https://www.aquon.nl/ ).
De maatlatten
De maatlatten binnen de KRW-systematiek kennen een minimale score van 0 en een Maximale score van 1, maximaal in de Ecologische KwaliteitsRatio (EKR). Deze reeks is overweldigend in 5 klassen, te weten: Slecht (0-0,2), Ontoereisend (0,2-0,4), Matig (0,4-0,6), Goed (0,6-0, 8) en Zeer Goed (0,8-1).
Eindscore
Voor de eindscore worden de berekende waarden voor de soorten en de bedekking gemiddeld. Bij de partituur wordt ook de beoordeling in tekst weergegeven.
Resultaten 2022
op 16 juni 2022 zijn ook dit jaar door Aquon in de sloten opnamen gemaakt.
Ook dit jaar scoort Peter goed in zijn sloten met het aantal planten. Opvallend is ook dat Matthias een groot aantal oeverplanten heeft staan in zijn referentiesloot. De bedekking blijft nog steeds achter om voldoende te kunnen halen. In de loop van 2023 zullen we de uitkomsten van 2021 en 2022 naast elkaar leggen. Blijft dat de vegetatie afhankelijk blijft van de watersamenstelling én dat we bij synergie over groei biodiversiteit vaak een plantaardige termijn gebruiken. Zie resultaten. Om te zien wat mannen ontmoeten en hoe dat wordt genoteerd, zie uitgewerkt voorbeeld van één drukdrainagesloot bij Heikoop.
Effecten Sub-irrigatie op de chemie en ecologie van kavelsloten
Over vijf jaar moet het oppervlakte- en grondwater in Nederland van goede kwaliteit en kwantiteit zijn. Nog niet één procent van onze oppervlaktewateren voldoet aan alle eisen die Europa stelt. Voldoende schoon water is de basis is voor ons hele land; voor onze natuur, voor drinkwater, de landbouw en ook voor de industrie. Volgens internationale afspraken vastgelegd in de Kaderrichtlijn Water (KRW) moet het Nederlandse water in 2027 schoon en gezond zijn.
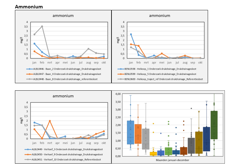
In deze pilot onderzoekt het WSRL of de maatregel Drukdrainage in combinatie met hoog slootwaterpeil bijdraagt aan de kwaliteit van het slootwater. Waterschap Rivierenland (WSRL)https://www.waterschaprivierenland.nl/) meet de komende jaren de waterkwaliteit van de sloten, zowel van de proefpercelen als de referentiepercelen. Daarvoor zijn in januari 2021 een serie fysisch-chemische metingen gestart. De metingen vinden maandelijks plaats.
Uitkomsten monitoring 2023 en eindverslag
Ook in 2023 ontmoet WSRL (Ronald)Gylstra) maandelijks de waterkwaliteit van de c -watergangen. We zijn aan het einde van de 3-jarige meetreeks gekomen. Stef van Walsum heeft de resultaten van de metingen gemeten en een eindrapport gemaakt.
Uitkomsten monitoring 2022
Elke maand meet WSRL (Ronald) de waterkwaliteit van de c -watergangen en dit jaar ook voor het eerst het water in de put. We vinden hoge gehaltes nutriënten in het water. Herkenbaar ook vanuit eerdere studies en uit de metingen van 2021. In de komende tijd (2023)willen we er verder op inzoomen en ook vooral kijken of we uit de metingen in de put ook conclusies kunnen trekken?
Indicaties:
- De metingen uit de referentie-sloten laten geen ander beeld zien dan de metingen in de drukdrainage-sloten
- De metingen zijn nu een jaarrond uitgevoerd en voor vrijwel alle parameters sluiten de laatste winter-waarnemingen aan bij de eerste wintermetingen van vorig jaar.
Documenten
Uitkomsten monitoring fys.chemische kwaliteit van het water 2021.
2021 Overzicht enkele gemeten parameters Experimenten drukdrainage WSRL Alblasserwaard en Vijfheerenlanden.
2021Lees hier de resultaten van de vegetatieopnames.

